Dmitry
http://www.invest74.ru/materials/fraktaly/?action=dlattach;attach=5880;image
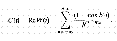
Эллиотт в 1938 году создал теорию которая математически выражается всего лишь одной формулой **Веерштрасса-Мандельброта**, в которой путем изменения параметров в d и b можно изменять фрактальные модели.
Эта функция имеет два параметра b и D.
Параметр b может изменяться в пределах 1
Параметр D может изменяться в пределах 1
Для графического построения моделей с различными значениями параметра b можно [использовать программу Fractan](http://www.invest74.ru/index.php?action=dlattach;topic=133.0;attach=144).
На основе этой формулы формируется генератор, который обрисовывает графики, и мы (пока визуально, в будущем автоматически) сравниваем с моделями и находим повторяющиеся на рынке. Получаем прогноз развития используя график предполагаем дальнейшее развитие движения, включая уровни, рассчитанные соотношением Фибоначчи и используя метод мартингейла забираем максимум прибыли во временном диапазоне развития фрактальной модели.
Модели на рынке беспрерывно меняются, но мы в режиме реального времени беспрерывно находим стандартные и автоматически меняем уровни стопа и профита с помощью МТС.
Кстати, если Вы прокрутите модель, то увидите, что фрагменты повторяются. Таким образом, каждая модель не бесконечна, она имеет свою структуру, которая через определенное количество шагов начинает повторять себя. Осталось совершенная мелочь - найти точку отсчета.
И доказать математически, что это именно она. Хотя одно свойство уже вырисовывается. Начальная точка создает свой уникальный ряд фракталов и в этом видимо кроется причина слива МТС со временем у которых алгоритм застывший.
Эллиот был одним из первых, кто четко определил действие Геометрии Фракталов в природе, в данном случае - в ценовом графике. Он предположил, что в каждая из только что показанных импульсных и коррективных волн также представляет собой волновую диаграмму Эллиота. В свою очередь, те волны тоже можно разложить на составляющие и так далее. Таким образом Эллиот применил теорию фракталов для разложения тренда на более мелкие и понятные части.
Ральф Эллиот первым подал идею использовать числовую последовательность Фибоначчи для составления прогнозов в рамках технического анализа. С помощью чисел и коэффициентов Фибоначчи можно прогнозировать длину каждой волны и время ее завершения. Не затрагивая вопроса времени, обратимся к наиболее часто применяемым правилам определения длины Эллиотовских волн. Под длиной в данном случае имеется в виду ее повышение или понижение по шкале цен.
http://www.invest74.ru/articles/elliot.jpg
1. Импульсные волны.
Волна 3 обычно имеет длину, составляющую 1,618 волны 1, реже – равную ей.
Две из импульсных волн часто бывают равны по длине, обычно это волны 5 и 1. Обычно это происходит, если длина волны 3 меньше, чем 1,618 длины волны 1.
Часто встречается соотношение, при котором длина волны 5 равна 0,382 или 0,618 расстояния, пройденного ценой от начала волны 1 до конце волны 3.
2. Коррекции
Длины корректирующих волн составляют определенный коэффициент Фибоначчи от длины предшествующей импульсной волны. В соответствии с правилом чередования волны 2 и 4 должны чередоваться в процентном соотношении. Наиболее распространенным примером является следующий: волна 2 составила 61,8% волны 1, при этом волна 4 может составлять только 38,2% или 50% от волны 3.